品牌  【直播】  50强   整机  ​【联盟】  机构  【视界】  展会  招聘  云服务          微博   公众号AIrobot518 
【​今日焦点
【行业动态】
NEWS / 新闻中心
智能集装箱码头中的联网自动引导车辆
来源: agv吧 | 作者: agv吧 | 发布时间: 2130天前 | 7529 次浏览 | 分享到:
由于集装箱码头的目标是提高运营效率和生产率,自动化在世界范围内取得了重大突破。集装箱码头越来越多地采用自动化解决方案,以应对更大的船舶,更高的起重机和更大的呼叫尺寸的挑战。为了满足预期的成本和性能目标,拥有正确的设计标准并在项目早期做出正确的决定至关重要。因此,设计自动化集装箱码头不再只是获得正确的港口设备并将设备与基本码头操作系统(TOS)集成的问题,而是越来越多的设计和实施完整的智能自动化系统。智能自动化将使集装箱码头中使用的自动导引车(AGV)能够自动适应不断变化的情况,优化性能和输出。现有的大多数研究工作都考虑了使用不同技术的预定义AGV路径,而没有考虑可能增加运输效率的自由道路AGV解决方案。这项研究工作使用物联网(IoT)的概念来提高自动引导车辆(AGV)的运输效率),并减少自动集装箱码头的卸货时间。此外,研究论文提出了一种提高自动化集装箱码头效率并达到研究目的的算法。
最后,仿真结果被用来证明与现有基准和最佳解决方案相比,使用该算法在减少船舶卸货时间方面的积极作用。

1.简介

集装箱化,将规则或什至不规则形状的货物存放在密封,可重复使用的,具有标准化尺寸的箱子中,是20世纪开发的最重要的货物搬运技术之一[1]。各国不仅在扩大码头容量方面进行投资,而且还在先进的集装箱码头技术上进行投资,以提高运营效率并减少船舶卸货时间。随着物料搬运和信息技术的发展,诸如鹿特丹的欧洲联合码头(ECT)等许多码头正在采用自动化的集装箱装卸设备来满足不断增长的需求并降低人工成本[2]。自动化集装箱码头可分为以下三个主要操作:1-码头起重机(QC),2-自动化引导车(AGV)和3-自动化堆垛起重机(ASC)。码头起重机(QC)负责在停泊处的集装箱之间装卸集装箱。
这些QC是半自动起重机,由操作员在远程控制室操作。起重机操作员将根据港口在船舶停泊之前将收到的装载计划来装载和卸载集装箱,以指定每个集装箱在船上的顺序和位置。自动导引车(AGV)负责从QC取走集装箱,并在卸货操作期间将其运输到仓储场,并在装载过程中将其从仓储场运输到QC。这些AGV是无人驾驶车辆,它们会根据预定义的路径行驶。最后,自动堆垛起重机(ASC)会在AGV到达仓库时处理从AGV接收的集装箱。调度和控制这类自动化设备是一项非常艰巨且重要的任务。
现有的大多数AGV研究都假设AGV的行驶路线固定,以减少交通复杂性并简化车辆控制。另一方面,对AGV车辆使用非固定路径可以提高运输效率,但会增加交通复杂性并产生新的控制问题。基于GPS的AGV将取代固定路径的AGV,并且比预定路径的车辆能够更快地到达目的地,这将为自动集装箱码头增加更多的效率。另一方面,实施这些免费旅行的AGV将增加交通复杂性和碰撞问题,因此应在终端中更认真地考虑这些问题。但是,使用传感器网络,车对车通信和物联网可以帮助解决这些AGV的交通问题,提高终端效率并因此减少船舶卸货时间。

2.相关工作

许多研究人员从不同角度研究了集装箱码头的不同操作方面。例如,Luo和Wu [2]提出了一种混合整数规划模型和遗传算法,用于AGV的调度和存储分配优化,目的是最大程度地减少全自动集装箱码头的停泊期。 Huang,Yan和Wang [3]提出了一种混合整数规划模型,通过最小化船舶等待时间并减少码头能耗来优化非自动化集装箱码头资源的调度。据辛等。 [4],由于码头起重机(QC),自动导引车(AGV)和自动堆垛起重机(ASC)在运输集装箱方面需要密切配合,因此对自动化集装箱码头的控制十分复杂,同时必须确保避免设备碰撞。许多研究工作还集中在自动集装箱码头中的AGV路由,调度和避免碰撞算法。路由是选择静态路径并为终端中的每个AGV指定行程数的过程。调度是将正确的AGV分配给正确的容器请求的过程。调度过程被认为是一个动态问题,其中AGV根据车辆的位置和来自终端环境的其他实时数据进行实时分配。该领域的大多数工作都使用带有一些启发式方法的整数编程模型,并得出结论,对多艘船使用AGV比指定单船操作要有效得多[5]。在调度过程中,研究工作使用静态和动态调度方法研究了不同类型的车辆,目的是使总运行时间或起重机总等待时间最小化[6,7]。在该领域其他值得注意的工作包括Kim和Bae [8],他们提出了基于车辆启动的超前算法的静态和动态AGV调度。建议的调度方法显示出比其他调度方法更高的效率,例如最短的行驶距离或时间,修订的最短即将运行和最早的到期日。 AGV的死锁和碰撞检测也在包括Kim,Jeon和Ryu [9]的著作中进行了研究,他们提出将终端的交通区域划分为网格块,并在允许AGV的开发和验证阶段使用预留图在几个网格块上。 Zeng和Hsu [10]使用了基于网格的解决方案,该解决方案将终端区域划分为块和预定义路径。此外,他们的方法将离散时间段用于AGV行驶,以避免车辆之间的危险相互作用,从而避免碰撞。另一方面,在供应链和物流行业中,从不同的角度对物联网的使用进行了广泛的研究。全球港口面临巨大挑战,要求对创新解决方案进行研究,同时尽可能减少对人工干预和控制的依赖。结果,[11]中的作者提出了一种针对蒙巴萨集装箱码头的基于RFID的智能解决方案,该解决方案考虑了进入,离开或仍在码头中的集装箱的操作。有很多研究人员研究了物联网对交通运输部门的影响以及如何提高汽车的交通效率,从而提出了使用车对车通信进行互联汽车定位和分布式故障诊断的不同方法[12]。

3.方法和框架

自动化集装箱码头的操作可以分为三个阶段。第一阶段负责码头起重机的操作,以从/向船上卸货/装载集装箱。第二阶段着重于AGV的操作,在卸货过程中将容器从QC转移到ASC,在装载过程中将容器从ASC转移到QC。另外,第二阶段计划AGV的调度,以为每个AGV生成无碰撞路径。第3阶段处理ASC在其存储插槽中堆叠容器的操作。此外,在所有三个阶段中,控制决策分为两个级别。在这篇研究论文中,我们将仅关注第2阶段的两个级别,其中包括AGV的运行。较高的级别负责AGV的调度过程,并将特定的工作分配给特定的AGV(离散事件操作)。上级控制器由每个阶段的阶段控制器和监督控制器组成,后者的作用类似于三个操作阶段的中央大脑,如图1所示。

图1.平台和电平控制架构

3.1 高级算法

较高级别的算法负责划分时间间隔,并在所有三个阶段中分配每个作业的顺序。此外,高级算法取决于以下一些假设:
1)它仅考虑放电操作。
2)已知容器在容器中的来源,并准备在时间0进行处理。
3)每个容器在QC,AGV和ASC阶段需要不同的操作时间。
4)每个QC,AGV和ASC的容量等于1个集装箱(1 TEU)。较高级别的算法分为五个主要功能,这些功能控制为每个容器分配资源和序列的过程。主要功能将控制整个算法,并充当负责管理三个操作阶段的监督控制器。主要功能将声明操作问题中的容器数,QC资源数,AGV资源数和ASC资源数。然后,它将通过调用food_first函数开始一个接一个地执行容器作业,优先处理可用的食品容器。
-AssignQC功能将为每个容器分配一个QC,它将优先考虑从队列中作业数量最少,等待时间更少的QC服务的食品容器。根据食物容器的区域位置,将根据其队列中最少的作业将其分配给该区域中的相应质量控制,或将其分配给左侧或右侧的两个相邻质量控制。另一方面,非食品容器将仅使用相应的区域QC服务。
-AssignASC函数将为每个容器分配ASC。容器将分配给相应的ASC,或者分配给相应的ASC,取决于队列中最少的作业数。无论集装箱内货物的类型如何,都将使用此ASC分配过程。
-AssignAGV功能将为船上的每个集装箱分配一个AGV。该功能将根据距离集装箱装载点最短的最近的AGV为每个集装箱分配一个免费的AGV。该函数将计算AGV当前位置与集装箱装载点之间的距离,该点被视为AGV操作的起点。该功能将计算所有AGV的距离,并会选择距离最短的AGV服务于集装箱。

3.2 低级算法

下层考虑了AGV的运动,障碍物检测以及AGV与其他静态障碍物之间的避碰。 AGVmove功能将从计算从当前位置到起点以及从起点到AGV目的地的运输过程中需要穿越的区域数开始。然后,该函数将调用障碍检测函数以检查AGV前方是否有障碍物,并将调用碰撞避免函数,否则它将移动一个区域前言,并将重复此过程以移动直到到达目的地。同样,在自动集装箱码头中,有两种类型的障碍物:静态障碍物或动态障碍物。静态障碍物是不可移动的障碍物,例如起重机和集装箱码头中的其他基础设施,如图2(a,b)所示。另一方面,动态障碍是其他AGV,它们正在使用共同的路径和交叉点相互移动和交互。为了管理这些交互,使用了车辆到基础设施和车辆到车辆通信来确保在自动化集装箱码头中的顺利和安全运输。车辆到基础设施的通信将通过共享自动集装箱码头中所有静态障碍物的确切位置来帮助AGV检测静态障碍物。这是通过将包含所有精确尺寸和静态障碍物位置的详细地图上传到连接到所有本地AGV系统的中央云系统来完成的。此外,基础设施还将向所有周围的AGV广播一条消息,以警告它们可能发生的碰撞。车辆之间的通信将用于在AGV移动时检测动态障碍物。每个AGV中都会有一个本地系统,该系统将包含一个精度为1米的GPS和一个用作两层安全传感器的雷达传感器。每个AGV本地系统将与其他周围的本地系统和中央云系统共享其实时位置,以允许其他AGV读取此重要信息。此外,包围AGV的雷达传感器将充当第二安全层,以检测周围的任何障碍物。因此,这两个安全层将通过分析两个读数并给出更好的决策来确保正确检测障碍物。此外,Obstacle_detection函数将读取并分析来自GPS和雷达传感器的读数。基于这些读数,该功能将确定AGV行驶的道路上是否存在障碍物。如果两个传感器中的任何一个检测到障碍物,该功能将返回TRUE到AGVmove函数,如果未检测到障碍物,则返回FALSE。 Collision_avoidance函数将避免在AGV与静态障碍物或AGV与动态障碍物之间发生任何可能的事故。如果另一个AGV占用了所需的区域,则AGV将停止,并且它将等到另一个AGV释放该区域。此外,如果有静态障碍物,AGV将稍微向左或向右转,以免发生碰撞。从逻辑上讲,随着容器数量的增加,计算时间也将增加。具有n个容器的算法的时间复杂度为O(n2)。较高和较低级别的算法将一起工作以为每个容器分配资源并确保安全运输。通过有效的资源分配和运输,我们将可以更快地进行操作,从而减少自动集装箱码头中的船只卸货时间。

4.实验与仿真

为了证明所建议方法的效率,我们在图2中使用了一个典型的集装箱码头地图,该地图显示了操作环境和各自的坐标。 [4]也使用的集装箱码头地图或参考系统假设有5个QC用于从船上卸下集装箱,5个AGV将集装箱从QC运送到ASC,5个ASC用于5个堆叠区域,因此每个ASC将负责一个堆叠 区域。 AGV将把集装箱从原点转移点(即QC卸料点)运送到目的地点(即ASC装载点),如图2所示。

图2.自动化集装箱码头参考系统。

实验的一些假设和参数包括:
-船只
积载宽度等于8 TEU。
-QC交换点和容器之间的最大距离为100米。
-集装箱码头堆场面积为150 m x 270 m。
-每个堆叠位置的体积为(36 TEU长度x 10 TEU宽度x 6 TEU高度)。
-QC的最大速度(速度)为4 m / s,AGV为6 m / s,ASC为4 m / s。
-QC的最大加速度(in(m / s)²)为0.4,AGV为1,ASC为0.4。
-每个QC,AGV或ASC仅处理1个TEU
-AGV的初始位置为装载位置,QC的初始位置为排出位置。
-每个集装箱的质量控制处理时间取决于其在船上的位置。
在以下实验中使用了Arena模拟软件来测量
建议的框架,并将着重于以下指标:
-总卸货时间:处理所有离开船上集装箱的完成时间。
-每个容器的QC平均操作时间:从在QC队列中等待直到被排放到AGV为止,容器在QC阶段花费的平均时间。
-AGV每个集装箱的平均运行时间:从请求时间到将相应集装箱交付到最终目的地之间,AGV花费的平均时间。
每个容器的ASC平均操作时间:从在ASC队列中等待直到到达堆放区中的最终位置为止,容器在ASC阶段花费的平均时间。
-平均等待时间:在所有操作阶段中,容器在队列中等待的平均时间。
使用相同的仿真参数(包括相同的
约束和资源数量),在本文中提出的算法与文献[4]中的基准实验之间进行了对比实验。显示的结果是五个模拟运行的平均值。
-放电时间:使用1)5个QC,10个AGV和8个ASC,2)4个QC,8个AGV和6个ASC以及3)3个QC,6个AGV和5个ASC进行了三个实验,以比较两个电池之间的总放电时间提出的算法和基准。结果示于图3(a)。结果表明,在三种不同情况下,所提算法与基准之间的放电时间分别缩短了13%,19%和18%,总体平均改善了17%。
平均操作时间:使用与之前实验类似的方案,比较了两种算法的平均操作时间,如图3(b)所示。与所提出的算法相比,该基准算法有望在AGV平均运行时间上获得更好的结果。拟议算法的AGV平均运行时间略有增加是因为已将额外的避免碰撞逻辑应用于拟议算法。这种防撞逻辑是为了确保在运输过程中使用公共路径和交叉路口的AGV之间不会发生任何意外,从而确保交通顺畅。
-资源利用:在使用相同数量的资源作为基准的提议算法(5个QC,10个AGV和8个ASC)和使用较少资源(5个QC,5个AGV和5个ASC)的提议算法之间进行了另一个比较实验。结果表明,两种情况之间的总放电时间差异很小(+3秒)(365秒与368秒)。即使多出了3秒,总的放电时间却用更少的资源仍然低于基准时间420秒。因此,所提出的具有新配置的算法将节省5个额外的AGV和3个额外的ASC,同时仍然可以缩短总放电时间。但是,AGV平均操作时间的结果在所提出的算法中略多,资源更少(+ 2秒)。 AGV平均操作时间的小幅增长是由于自动集装箱码头中可用的AGV数量较少。随着AGV数量的减少,所选AGV的响应时间将增加。
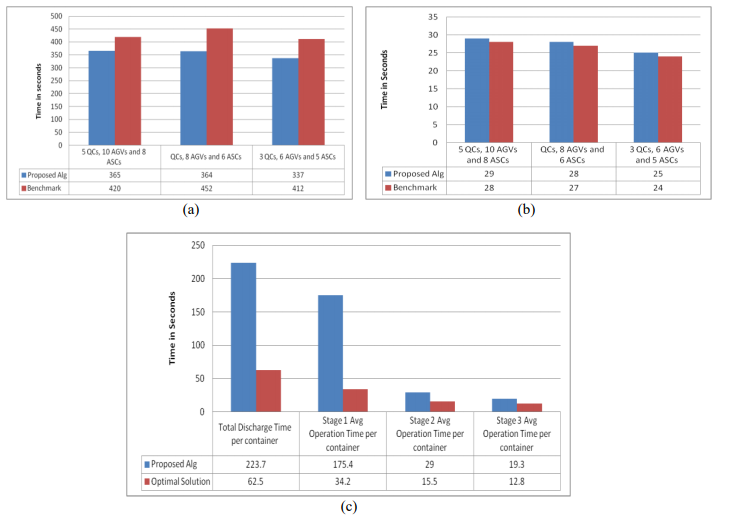
-下限阶段分析:在理想算法中,在提出的算法和最佳可能解决方案之间进行了另一个比较实验。当假设每个集装箱的等待时间为零且运输等待时间为零时,最佳解决方案是理想的情况。所提出的算法与最佳解决方案总排放时间之间存在161秒的差异,而这种差异是容器等待时间的直接结果。为了获得最佳结果,在自动化集装箱码头中不应考虑共享资源,这使其成为非常昂贵的解决方案,并且导致资源利用率非常低。此外,进行了详细的实验,分别比较了所提出的算法和每个阶段的最佳解决方案。如图3(c)所示,提出的算法在QC阶段(阶段1),AGV操作(阶段2)和ASC(阶段3)分别为175.4秒,29秒和19.3秒,相比之下,分别为34.2秒,15.5秒和12.8秒以获得最佳解决方案。这些节省是由于第一阶段和第三阶段没有等待时间,以及第二阶段每个容器的装载点准备好AGV的结果。这些结果是一个下限,有助于我们进一步改善我们的产品。提出的算法可以达到最佳效果。

图3.(a)三种不同配置的总放电时间比较。 (b)平均运算时间比较(c)提出的算法与最佳解决方案之间的比较(第1、2和3阶段)

5.结论

本文研究了自动化集装箱码头的三个操作阶段,并提出了一种智能算法,可通过传感器网络提高其效率。 所提出的算法的目的是减少船舶的总排放时间,这将增加自动集装箱码头的效率,从而确保自动集装箱码头中的交通顺畅。 事实证明,所提出的算法与基准相比使用更少的资源,并且可以获得更好的结果。 未来的工作包括在阿联酋集装箱码头中的实际部署,并将涵盖不同大小的集装箱的不同场景,以便能够同时处理40英尺集装箱和2x20英尺集装箱。

参考文献

[1]贸发会议,(2011)。 (联合国贸易和发展会议)秘书处。联合国出版物《 2011年海上运输评论》。
[2]罗健,吴宇(2015)。自动集装箱码头的集装箱存储和车辆调度问题的双周期策略建模。运输研究E部分:物流与运输评论,第49-64页。
[3]何俊杰,黄永。,严文武,王旺生(2015)。考虑到能耗,在集装箱码头内集成了内部卡车,堆场起重机和码头起重机调度。专家系统及其应用程序,2464-2487。
[4] Xin,J.,Negenborn,R.,Corman,F.和Lodewijks,G.(2015)。使用顺序计划方法来避免碰撞,从而控制自动化集装箱码头中的交互机器。交通运输研究C部分:新兴技术,377-396。
[5]曾庆强,杨中和赖丽(2009)。面向集装箱码头多起重机调度方法的模型和算法。运输政策,第16,271-278页。
[6] Zhang,L. W.,Ye,R.,Huang,S. Y.,&Hsu,W. J.(2005)。用于在集装箱码头调度车辆的混合整数编程模型。应用数学与计算杂志,17(1-2),145-17。
[7] Xing,Y.,Yin,K.,Quadrifoglio,L.和Wang,B. L.(2012)。服务于串联式起重码头起重机的自动引导车辆的调度问题。交通研究记录,79–86。
[8] Kim,K. H.,&Bae,J. W.(2004)。用于自动港口集装箱码头中的自动引导车辆的提前调度方法。交通科学,38(2),224–234。
[9] Kim,K. H.,Jeon,S. M.和Ryu,K. R.(2006)。自动集装箱码头中的自动引导车辆的防死锁。或Spectrum,28,659–679。
[10] Zeng,J.&Hsu,W. J.(2008)。网格堆场布局中的无冲突集装箱路线。机器人与自治系统,56,451-460。
[11] Siror,J.,Huanye,S.,&Dong,W.(2011)。基于RFID的智能端口模型。工业计算机,795-810。
[12] Homchaudhuri,B.,Pisu,P.和Ozguner,U.(2015)。连接车辆的安全车辆定位和巡航控制。 IFAC-PapersOnLine,1192-1197。


免责声明:所载内容及图片来源于互联网、微信公众号、企业投稿等公开渠道,本文转载仅供参考、交流。转载的稿件版权归原作者和机构所有,如有侵权,请联系我们及时删除。

​​​​2026“全国移动机器人行业活动”合作商招募中

​报名热线:400-0756-518​​​​、13512726426  微信

活动时间:2025-08-01至08-31

  • 新时达全新机器人IOT运维云平台 正式发布!
  • 云象机器人 × 领擎机器人达成战略合作,首站落地衢州世界围棋公园
  • 开工大吉|九曜智能:智驾破局,奔赴新征程!
  • 行业首个!京东物流发布行业高质量数据集,率先在五大场景落地应用
  • 喜报 | 中惠创智荣膺阜阳市“科技创新引领新质生产力发展先进集体”称号,开年迎重磅殊荣!
  • 开工大吉!礼花满地,好运满格,与海豚之星AiTEN一起“粘”住幸运,“立”起新高!
  • 极智嘉发布2025盈喜: 预计营收破31亿、经调净利强势转正, 成为AI机器人盈利新标杆
  • 开工大吉!盈科视控“软硬兼施”,为工厂智能化注入新动力